Educatie
Horoscopul zilei
Gemeni
(22 Mai - 21 Iunie)
Azi nu vei fii intr-o dispozitie prea buna, sanatatea iti joaca feste. Asa ca trebuie sa ai grija la alimentatie si la cum iti vei face programul azi.
› vrei zodia taCultura generala
Cei mai tineri parinti au avut varsta de 8, respectiv 9 ani si au trait in China.
› vrei mai multBancul zilei
Cativa negri africanii se jucau in desert. Cand la un moment dat au gasit o sticla. Au deschis sticla. Si din sticla a iesit un duh. Duhul le spune ca o sa le indeplineasaca dorintele. Primul ii spune: - Fa-ma alb. Ceilalti vazand ca se facuse frumos . Spusese si ceilalti sa-i faca albii. Ultimul radea cat il tinea gura. Si zise duhului sa-i faca pe toti negrii la loc
› vrei mai multShop Clopotel.ro
Descifrarea subiectelor din testul SAT si strategii eficiente de rezolvare
19 Iulie 2023
Exemplu concret cu rezolvare cu Dr. Georgiana Popovici
Testul SAT (Scholastic Assessment Test) este un examen standardizat frecvent utilizat in procesul de admitere la universitati din Statele Unite ale Americii. In ultimele decenii, acesta a castigat o importanta globala, fiind adoptat si de alte tari ca o modalitate de evaluare a competentelor academice ale elevilor. In acest articol, vom explora structura si tipurile de intrebari din testul SAT, precum si strategii eficiente pentru rezolvarea acestora.
1. Structura testului SAT:
Testul SAT este împărțit în două secțiuni principale: Secțiunea de Matematică și Secțiunea de Evidență și Răspunsuri (Evidence-Based Reading and Writing). Ne vom concentra atenția asupra secțiunii de Matematică.
2. Subiectele din secțiunea de Matematică:
Secțiunea de Matematică a testului SAT conține întrebări care abordează diverse concepte matematice și testează abilitățile elevilor în rezolvarea problemelor. Subiectele comune acoperite în această secțiune includ:
a) Algebra și funcții: întrebări despre ecuații și inecuații, exponenți, logaritmi, funcții și relații.
b) Geometrie și măsurători: probleme legate de proprietățile figurilor geometrice, unghiuri, teorema lui Pitagora, măsurători și transformări geometrice.
c) Date și interpretare: întrebări despre interpretarea datelor din tabele și grafice, statistici și probabilitate.
d) Analiză și algebra liniară: probleme care implică concepte avansate, cum ar fi analiza de funcții, secvențe, matrice și sisteme de ecuații.
3. Strategii eficiente de rezolvare a întrebărilor SAT:
Pentru a obține un scor bun în secțiunea de Matematică a testului SAT, este important să urmați anumite strategii:
a) Familiarizarea cu materialele de studiu: asigurați-vă că aveți acces la resurse de învățare care acoperă toate subiectele din testul SAT și înțelegeți conceptele fundamentale.
b) Rezolvarea de teste practice: rezolvați cât mai multe teste practice pentru a vă familiariza cu formatul și tipurile de întrebări întâlnite în testul real. Astfel, veți dezvolta și viteza de rezolvare.
c) Organizarea timpului: gestionați timpul disponibil în mod eficient pentru a evita întârzierile și a răspunde la cât mai multe întrebări posibile.
d) Eliminarea răspunsurilor greșite: utilizați procesul de eliminare pentru a reduce opțiunile greșite și pentru a crește șansele de a alege răspunsul corect.
4. Resurse suplimentare și sprijin:
Pentru a vă pregăti în mod corespunzător pentru testul SAT, există numeroase resurse disponibile, cum ar fi cărți de studiu, site-uri web specializate și tutoriale online. În plus, puteți căuta sprijin din partea profesorilor sau a instructorilor specializați în pregătirea pentru testele internaționale.
Iată un exemplu de subiect din secțiunea de Matematică a testului SAT și rezolvarea sa:
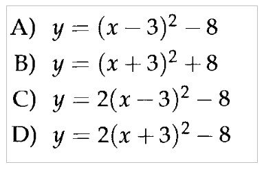
Subiect:


Răspuns:
Varianta corectă este C.
Vârful parabolei (3, -8) ne obligă să eliminăm variantele B și D.
Rămâne sa alegem dintre variantele A si C. Cum facem acest lucru?
Considerăm un alt punct ce aparține parabolei, de exemplu punctul de coordonate (1,0). Dacă substituim pe x = 1 obținem y = 0 doar în varianta C. Varianta A se elimină. Corect C.
Rezolvarea testului SAT nu este doar despre cunoașterea conceptelor matematice, ci și despre dezvoltarea unor abilități de gândire critică și de rezolvare a problemelor. Utilizând strategii eficiente și accesând resurse adecvate, elevii pot obține rezultate excelente în acest examen internațional, deschizându-și astfel uși către oportunități academice și profesionale la nivel global.
Profesoara Georgiana Popovici este doctor în matematică și cercetător, specializată pe matematică și statistică, cu o experiență de 20 de ani la catedră. Pregătește elevii la centrul său pentru examene internaționale ca: A Level, SAT, GMAT, IB (Bacalaureat Internațional) și are sute de ore de interacțiune cu elevii prin prisma matematicii.