Pentru Scoala
Horoscopul zilei
Balanta
(22 Septembrie - 22 Octombrie)
Azi vei merge cu familia sau prietenii in parc sau la picnic. Acest lucru iti va incarca bateriile pentru saptamana ce urmeaza.
› vrei zodia taCultura generala
Toate planetele din sistemul solar se rotesc in sens invers acelor de ceas, doar Venus, a doua planeta de la Soare se roteste in sensul acelor de ceasornic.
› vrei mai multBancul zilei
La examen un student ia un bilet - nu stie. Ia altul - iarasi nu stie. Al treilea - de asemenea... Si asa al patrulea, al cincilea... Profesorul il opreste si ii da nota "5". Ceilalti studenti se revolta:
- Pentru ce?
- Cum pentru ce? Dupa cum cauta, inseamna ca stie ceva.
Shop Clopotel.ro
| Evaluare Nationala | Bacalaureat | Subiecte Examen | Forum | Arhiva | Referate |
home : Invatamant : Subiecte_date_la_examen : Teste_Nationale
Subiecte Teste Nationale 2004
Matematica - subiect - sesiunea I varianta 2
|
Varianta de download:
Tip fisier: pdf Marime: 187571 bytes |
Sesiunea iunie 2004
Proba scrisa la Matematica
Varianta 2
-> Toate subiectele sunt obligatorii. Se acorda 10 puncte din oficiu.
-> Timpul efectiv de lucru este de 2 ore.
PARTEA I (45 puncte) - Pe foaia de examen se trec numai rezultatele.
1. Rezultatul calculului 5-3 + 3 este egal cu ...
2. Solutia reala a ecuatiei 5 - x = 0 este egala cu ...
3. Trei sferturi de ora sunt egale cu ... minute.
4. Scris in cifre numarul doua milioane o mie este egal cu ...
5. Dintre numerele a=12/7 si b=12/5 mai mare este numarul...
6. Cel mai mare divizor comun al numerelor 36 si 63 este egal cu ...
7. In figura 1, ABCD si CDEF sunt dreptunghiuri in care AB = 4 cm si AC = DF=
5 cm.
a) Lungimea segmentului AD este egala cu ... cm.
b) Perimetrul patrulaterului ACFD este egal cu ... cm.
8. Diagonala unui cub cu muchia de 4 cm are lungimea de ... cm.
9. In triunghiul ABC din figura 2, punctele M, N, P si D, E, F impart laturile
AB, respectiv A C in cate patru segmente congruente, iar BC =12 cm. Asociati
fiecare litera din coloana A cu cifra din coloana B corespunzatoare lungimii
segmentului specificat in oloana A. Scrieti pe foaia de examen toate asocierile
care exprima enunturi matematice adevarate.
A |
B |
| a. lungimea segmentului NE este egala cu b. lungimea segmentului MD este egala cu c. lungimea segmentului PF este egala cu |
1. 3cm 2. 9cm 3. 10cm 4. 6cm |
PARTEA a ll-a (45 puncte) - Pe foaia de examen scrieti rezolvarile
complete.
1. Numerele naturale nenule a si b sunt direct proportionale cu 4, respectiv
3.
a) Ce procent din numarul a reprezinta numarul b ?
b) Media aritmetica a numerelor a si b este 14 . Calculati numerele a si b.
2. Fie functia f:R->R, f(x)=4ax-1
a) Determinati numarul real a stiind ca punctul A(1; 3) apartine graficului
functiei f.
b) Pentru a = 1, reprezentati grafic functia f in sistemul de axe perpendiculare
xOy.
c) Rezolvati in R ecuatia 7x2 + x - 8 = 0 .
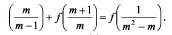
d) Pentru a = 1, determinati m apartine R \ {0;l} stiind ca
3. In figura 3, VABC este o piramida triunghiulara regulata, de varf V si baza
ABC, in care punctul Meste mijlocul laturii BC, masura unghiului MVA = 90° si
VA = 6\/2 cm.
a) Completati pe foaia de examen desenul din figura 3 cu triunghiul MVA.
b) Aratati ca AB = 12 cm.
c) Calculati volumul piramidei VABC.
d) Calculati masura unghiului planelor (VAM) si (VAB).
e) Calculati distanta de la punctul M la planul (VAB).